OCI | SMTS | Interview experience | Oracle
Summary
I interviewed for a Senior Member of Technical Staff (SMTS) role at Oracle (OCI). The process involved a screening round, followed by four back-to-back loops covering problem-solving, system design, and a hiring manager discussion. Unfortunately, I was rejected for failing to provide a working solution for one of the Round 1 problems.
Full Experience
YOE: 5
Applied on job portal and recruiter reached out to me.
Screening round:
- Discussion on the current project (40 mins)
- Problem solving : https://leetcode.com/problems/avoid-flood-in-the-city/description/ (30 mins)
4 Loops interviews were scheduled back to back after 2-3 days
Round 1: Problem solving
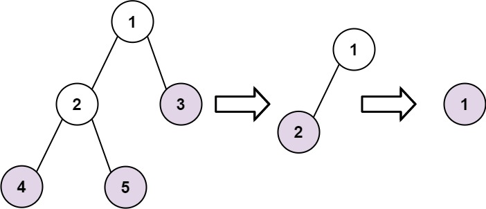
1. Remove Binary trees leaves step by step from left to right until the whole tree becomes empty
- 
Input: root = [1,2,3,4,5]
Output: [[4,5,3],[2],[1]]
2. https://leetcode.com/problems/remove-k-digits/description/
Round 2: Design a chat application similar to whatsapp/slack (1 hr)
- 1B users, 10M DAU
- Discussion on API Design, DB choices, guaranteed message delivery
Round 3: Hiring manager (45 mins)
- Deep dive into the current project, work experience and some follow-ups.
- Behavioural questions
1. Most critical bug
2. What have done to increase the productiivity of the team
Round 4: Problem solving and distributed systems (1hr 15 mins)
1. Some question on binary search similar to: https://leetcode.com/problems/koko-eating-bananas/description/
2. Question on stack similar to finding the next greater element
- Distributes system questions.
- SQL vs NoSQL
- DB indexing
- Scalability at each layer
Update:
Verdict: Rejected as I was unable to provide the working solution for 1st problem in round 1
Interview Questions (11)
Avoid Flood in the City
Problem solving : https://leetcode.com/problems/avoid-flood-in-the-city/description/ (30 mins)
Remove Binary Tree Leaves Step by Step
Remove Binary trees leaves step by step from left to right until the whole tree becomes empty.
Input: root = [1,2,3,4,5]
Output: [[4,5,3],[2],[1]]
Remove K Digits
Design a Chat Application (WhatsApp/Slack)
Design a chat application similar to whatsapp/slack (1 hr)
- 1B users, 10M DAU
- Discussion on API Design, DB choices, guaranteed message delivery
Most Critical Bug
Describe your most critical bug and how you handled it.
Increase Team Productivity
What have you done to increase the productivity of the team?
Koko Eating Bananas (Binary Search)
A question on binary search similar to: https://leetcode.com/problems/koko-eating-bananas/description/
Next Greater Element (Stack Problem)
A question on stack similar to finding the next greater element.
SQL vs NoSQL Comparison
Discuss SQL vs NoSQL databases.
Database Indexing
Explain database indexing.
System Scalability at Each Layer
Discuss scalability at each layer of a distributed system.